Facebook Instagram Don Dominika Stojanovića 3 034 274 866 RSS
  • Slušaj uživo
  • Podcast
  • Početna
  • Vijesti
    • Vijesti
    • Obavijesti
    • Interview
    • Oglasi za posao
    • Javni poziv
    • Politika
    • Crna kronika
    • Šport
    • Glazba
    • Zanimljivosti
    • Kultura
    • Dnevna ponuda jela
  • Program
  • Marketing
  • Kontakti
  • Slušaj uživo
  • Podcast

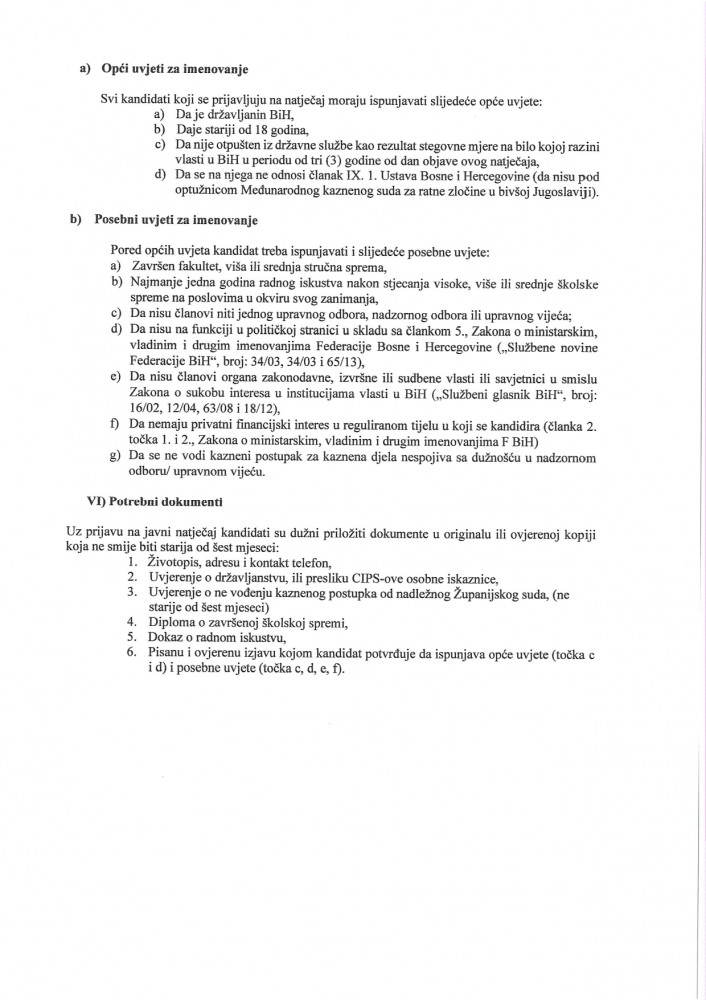
Javni natječaj za članove Upravnog vijeća JU Dječji vrtić Pahuljica Kupres

10.09.25 08:28

Javni poziv

Podijeli

Javni_natječaj_za_članove_Upravn - Copy 2.jpg

Javni_natječaj_za_članove_Upravn - Copy 1.jpg

Javni_natječaj_za_članove_Upravn.jpg
Javni_natječaj_za_članove_Upravn.pdf


djecjivrticpahuljica natjecaj upravnovijece

 

Slika bannera nedostajeSlika bannera nedostaje

 


Slika bannera nedostajeSlika bannera nedostaje

Najnovije

  • U Livnu održana IV. Dječja vatrogasna olimpijada
    30.05.26 08:32
  • Preliminarna bodovna lista za stambeno zbrinjavanje branitelja i stradalnika Domovinskog rata za 2026. godinu
    30.05.26 08:27
  • Započeli radovi na rekonstrukciji zgrade Komunalnog poduzeća u Kupresu
    29.05.26 11:52
  • JAVNI POZIV za dostavljanje prijava za potporu projektima iz oblasti javnog informiranja za 2026. godinu
    29.05.26 08:44
  • Predsjednik Vlade Hercegbosanske županije dr.sc. Ivan Vukadin potpisao ugovore za sufinanciranje donatorskih projekata u Hercegbosanskoj županiji
    29.05.26 08:37
  • Održana 60. sjednica Vlade Hercegbosanske županije
    29.05.26 08:28
  • Najava: Deveti tradicionalni turnir u uličnoj košarci pod nazivom "Košarkom za toleranciju"
    28.05.26 08:51
  • Najava: Deveta sjednica Općinskog vijeća Kupres 1. lipnja 2026. godine (ponedjeljak) sa početkom u 13.00 sati.
    28.05.26 08:46
  • Tjedan Hrvata izvan RH: Općina Kupres predstavila bogatu kulturnu baštinu
    28.05.26 08:09
  • Čestitka Vlade Hercegbosanske županije povodom Kurban – bajrama
    27.05.26 08:56

    © 2020 J.P. Radio Kupres

  • Društvo s ograničenom odgovornošću za pripremu i emitiranje radijskog i TV programa, organiziranje javnih priredbi, javno informiranje, telekomunikacijske usluge, muzička produkciju i izdavačku djelatnost.
  •  
  • Software i dizajn Creatix BiH

    Kontakti

  • Don Dominika Stojanovića 3
  • +387 34 274 866
  • +387 34 274 631
  • +387 63 720 240
  • info@kupreskiradio.com

    Social

  • Facebook
  • Instagram
  • RSS bilješke
  • Vrh stranice